[2] - Arrangement and Value of Polynomials 多項式的排列及數值

[2] - Arrangement and Value of Polynomials 多項式的排列及數值

5e4b3cdc61f70

6 years
338 Views
Share 0 0
Category:
Description:
IDENTITY網站:
http://project-identity.hk

影片內容:
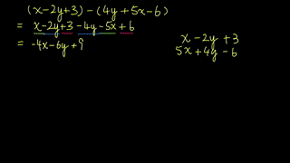
00:16 - like terms and unlike terms 同類項及異頪項
03:09 - arrangement of terms 項的排列
05:02 - values of polynomials by substitution 多項式的值(代入法)

所屬主題:
[初中數學] - Introduction to Polynomials 多項式簡介

Comments:

Comment
Up Next Autoplay