Sign In
Home
Trending
Sign In
Audios and Videos
Videos
Audios
Channels
Browse Channels
Categories
Default
719
01-CHI
53
02-ENG
123
03-Math
536
04-LS
443
05-Science
237
06-CHist
49
07-Hist
148
08-Music
7
10-ICT
209
11-VArt
5
13-PHY
111
15-CHEM
99
16-GEOG
48
17-BAFS
74
18-HMSC
58
21-Religious
2
22-Econ
60
Help
About
Contact
0:07:04
2012 冷戰教學
07-Hist
23 Views
6 years ago
5e3d223a95e2d
0:08:01
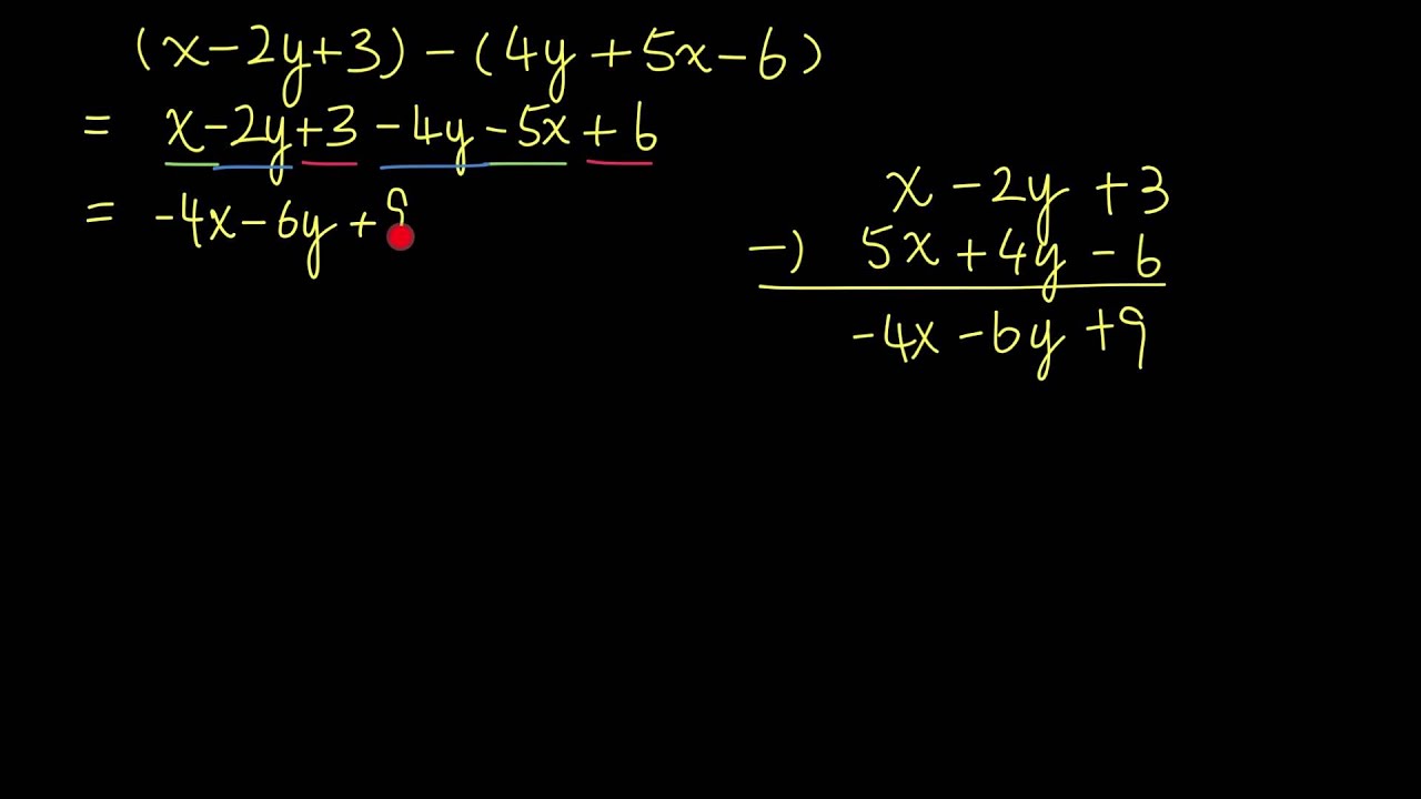
[3] - Addition and Subtraction of Polynomials 多項式加減運算
03-Math
347 Views
6 years ago
5e3ed3292ce33
IDENTITY網站: http://project-identity.hk 影片內容: 00:05 - basic ideas 基本概念 02:19 - illustrative example 1 例子1 04:44 - illustrative example 2 例子2 所屬主題: [初中數學] - Introduction to Polynomials 多項式簡介
0:09:50
S5 L10 雨林的人類活動 - 小型農業
16-GEOG
0 Views
6 years ago
TTC - Miss Pang
0:19:54
TA U9 Paragraphs 5-6 and Vocabulary
02-ENG
0 Views
6 years ago
5e3cde25169e8
0:09:34
2-2西歐重建─外來援助
07-Hist
5 Views
6 years ago
5e3d223a95e2d
Previous
128
129
130
131
132
133
134
135
136
137
138
Next
End of content
No more pages to load
Next page